Příklad z matematiky? (Výrazy)
Moderátoři: Mods_junior, Mods_senior
- Argoneus
- Level 3.5

- Příspěvky: 939
- Registrován: 28 pro 2007 21:53
- Bydliště: Praha
- Kontaktovat uživatele:
Příklad z matematiky? (Výrazy)
Zdravim, v matice teď počítáme příklady tohohle typu a jeden příklad absolutně vůbec nechápu...
Mohl by mi někdo vysvětlit jak se to počítá?
Zadání úlohy zní "Upravte:"
Přikládám obrázek
Mohl by mi někdo vysvětlit jak se to počítá?
Zadání úlohy zní "Upravte:"
Přikládám obrázek
- Přílohy
-
- vyraz.jpg (2.71 KiB) Zobrazeno 1326 x
CPU: AMD Athlon 64 X2 5000+ EE @ 2,6 Ghz GPU: Sapphire HD 3850 512MB, PCI-E
Zákl. deska: Gigabyte GA-M52L-S3 - nForce 520 RAM: A-DATA 2x1GB DDR2 PC800 Extreme Edition
HDD: Samsung Spin Point F1 HD322HJ 320GB Zdroj: Seasonic SS-500ET-T3 500W
Case: THERMALTAKE VG1000BNS Wing RS100 Black
Zákl. deska: Gigabyte GA-M52L-S3 - nForce 520 RAM: A-DATA 2x1GB DDR2 PC800 Extreme Edition
HDD: Samsung Spin Point F1 HD322HJ 320GB Zdroj: Seasonic SS-500ET-T3 500W
Case: THERMALTAKE VG1000BNS Wing RS100 Black
Re: Příklad z matematiky? (Výrazy)
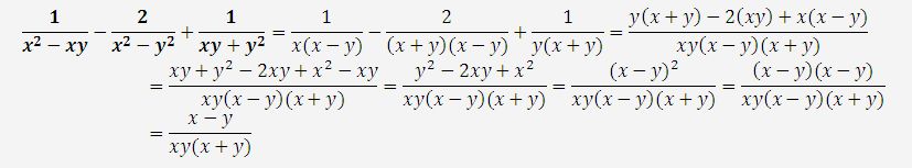
= 1/x(x-y) - 2/(x-y)(x+y) + 1/y(x+y) .. společnej jmenovatel dole bude x*y*(x-y)*(x+y) .. už to zvládneš?
Everybody lies so don't trust anyone. :)
- Argoneus
- Level 3.5

- Příspěvky: 939
- Registrován: 28 pro 2007 21:53
- Bydliště: Praha
- Kontaktovat uživatele:
Re: Příklad z matematiky? (Výrazy)
Jo, tak k tomu sem se dobabral, ale pak sem nevěděl jak roznásobit čitatele...
CPU: AMD Athlon 64 X2 5000+ EE @ 2,6 Ghz GPU: Sapphire HD 3850 512MB, PCI-E
Zákl. deska: Gigabyte GA-M52L-S3 - nForce 520 RAM: A-DATA 2x1GB DDR2 PC800 Extreme Edition
HDD: Samsung Spin Point F1 HD322HJ 320GB Zdroj: Seasonic SS-500ET-T3 500W
Case: THERMALTAKE VG1000BNS Wing RS100 Black
Zákl. deska: Gigabyte GA-M52L-S3 - nForce 520 RAM: A-DATA 2x1GB DDR2 PC800 Extreme Edition
HDD: Samsung Spin Point F1 HD322HJ 320GB Zdroj: Seasonic SS-500ET-T3 500W
Case: THERMALTAKE VG1000BNS Wing RS100 Black
Re: Příklad z matematiky? (Výrazy)
Tady to máš roznásobený y(x+y)-2xy+x(x-y)/(to celý lomeno)xy(x-y)(x+y) dál už to snad zvládneš pokrátit, nebo napiš.
Lenovo Thinkpad Edge 15
- Argoneus
- Level 3.5

- Příspěvky: 939
- Registrován: 28 pro 2007 21:53
- Bydliště: Praha
- Kontaktovat uživatele:
Re: Příklad z matematiky? (Výrazy)
tak to mam takhle a nevim jestli to je dobře..
CPU: AMD Athlon 64 X2 5000+ EE @ 2,6 Ghz GPU: Sapphire HD 3850 512MB, PCI-E
Zákl. deska: Gigabyte GA-M52L-S3 - nForce 520 RAM: A-DATA 2x1GB DDR2 PC800 Extreme Edition
HDD: Samsung Spin Point F1 HD322HJ 320GB Zdroj: Seasonic SS-500ET-T3 500W
Case: THERMALTAKE VG1000BNS Wing RS100 Black
Zákl. deska: Gigabyte GA-M52L-S3 - nForce 520 RAM: A-DATA 2x1GB DDR2 PC800 Extreme Edition
HDD: Samsung Spin Point F1 HD322HJ 320GB Zdroj: Seasonic SS-500ET-T3 500W
Case: THERMALTAKE VG1000BNS Wing RS100 Black
Re: Příklad z matematiky? (Výrazy)
Máš to blbě, protože "x(nadruhou) -2xy+y(nadruhou)" = (x-y)(to celý na druhou)...pak ti půjde pokrátit jinak
Lenovo Thinkpad Edge 15
Re: Příklad z matematiky? (Výrazy)
Máš blbost v tom předposledním ..
= (x - y)(x - y) /xy(x+y)(x-y) = (x- y) / xy(x+y)
Aspon doufám
= (x - y)(x - y) /xy(x+y)(x-y) = (x- y) / xy(x+y)
Aspon doufám
Everybody lies so don't trust anyone. :)
- Argoneus
- Level 3.5

- Příspěvky: 939
- Registrován: 28 pro 2007 21:53
- Bydliště: Praha
- Kontaktovat uživatele:
Re: Příklad z matematiky? (Výrazy)
tak už mi to vyšlo!!! dík moc všem! 
CPU: AMD Athlon 64 X2 5000+ EE @ 2,6 Ghz GPU: Sapphire HD 3850 512MB, PCI-E
Zákl. deska: Gigabyte GA-M52L-S3 - nForce 520 RAM: A-DATA 2x1GB DDR2 PC800 Extreme Edition
HDD: Samsung Spin Point F1 HD322HJ 320GB Zdroj: Seasonic SS-500ET-T3 500W
Case: THERMALTAKE VG1000BNS Wing RS100 Black
Zákl. deska: Gigabyte GA-M52L-S3 - nForce 520 RAM: A-DATA 2x1GB DDR2 PC800 Extreme Edition
HDD: Samsung Spin Point F1 HD322HJ 320GB Zdroj: Seasonic SS-500ET-T3 500W
Case: THERMALTAKE VG1000BNS Wing RS100 Black
- Argoneus
- Level 3.5

- Příspěvky: 939
- Registrován: 28 pro 2007 21:53
- Bydliště: Praha
- Kontaktovat uživatele:
Re: Příklad z matematiky? (Výrazy)
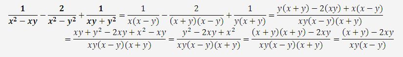
není to spíš takhle?
CPU: AMD Athlon 64 X2 5000+ EE @ 2,6 Ghz GPU: Sapphire HD 3850 512MB, PCI-E
Zákl. deska: Gigabyte GA-M52L-S3 - nForce 520 RAM: A-DATA 2x1GB DDR2 PC800 Extreme Edition
HDD: Samsung Spin Point F1 HD322HJ 320GB Zdroj: Seasonic SS-500ET-T3 500W
Case: THERMALTAKE VG1000BNS Wing RS100 Black
Zákl. deska: Gigabyte GA-M52L-S3 - nForce 520 RAM: A-DATA 2x1GB DDR2 PC800 Extreme Edition
HDD: Samsung Spin Point F1 HD322HJ 320GB Zdroj: Seasonic SS-500ET-T3 500W
Case: THERMALTAKE VG1000BNS Wing RS100 Black
Re: Příklad z matematiky? (Výrazy)
Je to tak jak to ma Argoneus!!!


