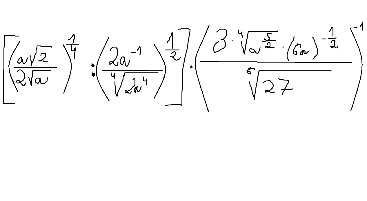
Nevíte jakým programem třeba takový příklad zapsat ,protože to malování je dosti trapné
Doufám ,že tohle je množina ,protože už se o to pokouším asi půl hodiny a ještě jsem nevypočítal ani první závorku



divine píše:muzu ti doporucit program matlab- ten to vypocita i s postupem.
Kód: Vybrat vše
sqr(a^2 * 2)
------------
sqr(4 * a)Kód: Vybrat vše
a^2 * 2
sqr(---------)
4 * aKód: Vybrat vše
a
sqr(---) neboli sqr(a/2)
2Kód: Vybrat vše
a=17
print (((a*sqr(2))/(2*sqr(a)))^(1/4))
print (sqr(2*a^2)/sqr(4*a))^(1/4)
print sqr((2*a^2)/(4*a))^(1/4)
print sqr(sqr(sqr((2*a^2)/(4*a))))
print sqr(sqr(sqr(a/2)))
print (a/2)^(1/8)Zpět na “Vše ostatní (Off topic)”
Uživatelé prohlížející si toto fórum: Žádní registrovaní uživatelé a 13 hostů