Struktura sítě, loss až 13 %

Problematika administrace LAN či WIFI sítí

Moderátor: Mods_senior

gvdr
nováček
Příspěvky: 1
Registrován: duben 17
Pohlaví: Nespecifikováno
Stav:
Offline

Struktura sítě, loss až 13 %

Příspěvekod gvdr » 15 dub 2017 16:21

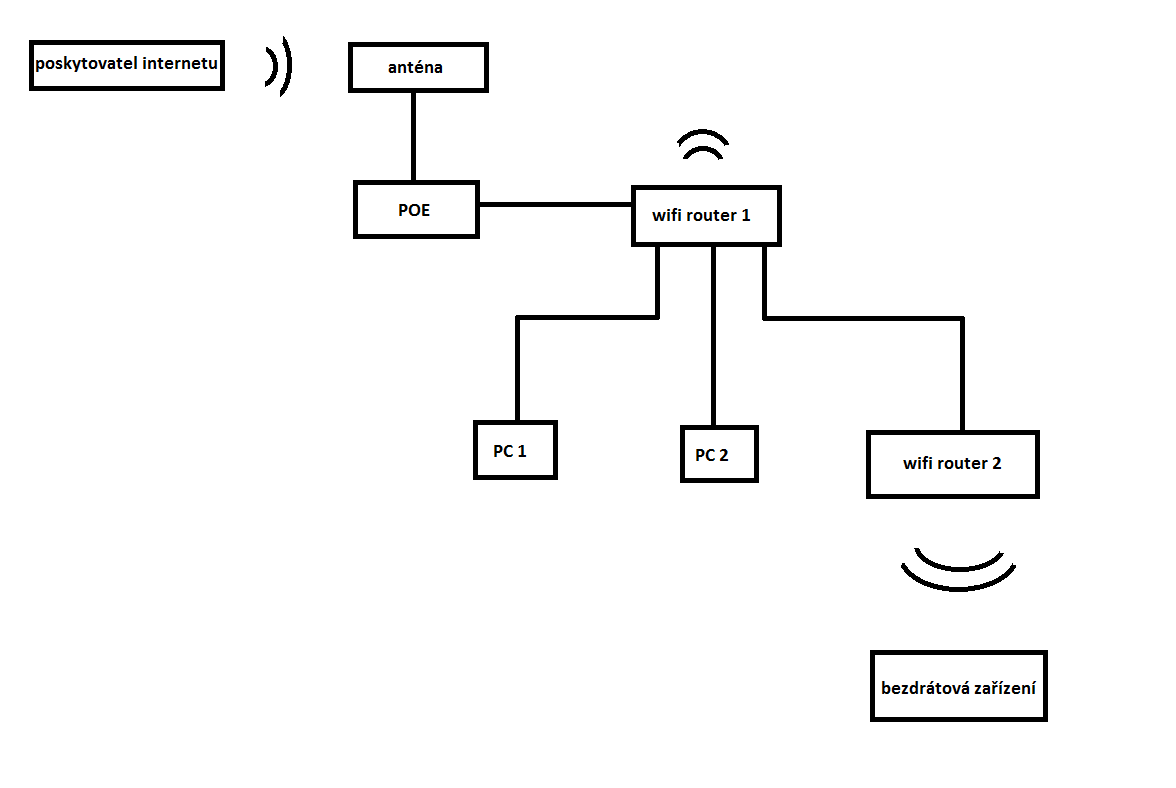
Zdravím, před 2 dny mi přišli vyměnit "krabičku", do které vede internet z antény. Dříve vše fungovalo celkem bezchybně, akorát někdy jsem musel wifi router 1 restartovat, aby internet "naskočil". Teď mi loss skáče někdy až na 13 %, což je dost nepříjemné, a proto bych to chtěl vyřešit.
Co vím, tak změnili tedy jen tu krabičku a potom zapojení, dříve byl wifi router 1 zapojen tak, že WAN port byl prázdný, teď tam vede kabel z POE. Měnili taky nastavení wifi routeru 2, ale to by na PC 1 a PC 2 nemělo mít vliv ne?
Ptám se tedy: Které zapojení je správné, protože nevím jestli mám loss kvůli nové "krabičce" nebo kvůli jinému zapojení a nastavení.
Přílohy
internet.png
Naposledy upravil(a) gvdr dne 15 dub 2017 18:15, celkem upraveno 2 x.

Reklama
Uživatelský avatar
mmmartin
Moderátor
Elite Level 10
Elite Level 10
Příspěvky: 9665
Registrován: srpen 04
Bydliště: Praha
Pohlaví: Muž
Stav:
Offline

Re: Struktura sítě, loss až 13 %

Příspěvekod mmmartin » 15 dub 2017 17:33

Nechtěj po nikom, aby klikal na odkaz, na kterém neví, co ho čeká. Obrázky se vkládají přímo do příspěvku.
obrázek.jpg
ASUS Prime Z390-P / Hexa Core Intel core i5 Coffee Lake-S / Gigabyte GeForce GTX 650 Ti / FORTRON BlueStorm Bronze 80PLUS / W 11

Uziv00
Pohlaví: Nespecifikováno

Re: Struktura sítě, loss až 13 %

Příspěvekod Uziv00 » 15 dub 2017 17:53

V mém podpisu najdeš návody na diagnostiku sítě.
Doplň náčrtkem, jak a co máš zapojeno. Bude mě zajímat ping na router v případě výpadku a screen z pingplotter s výpadky.


  • Mohlo by vás zajímat
    Odpovědi
    Zobrazení
    Poslední příspěvek
  • Rozdělení sítě na podsítě, výpočet podsítí podle počtu hostů Příloha(y)
    od zuzana3 » 27 pro 2024 08:09 » v Administrace sítě
    12
    7155
    od petr22 Zobrazit poslední příspěvek
    27 pro 2024 12:29

Zpět na “Administrace sítě”

Kdo je online

Uživatelé prohlížející si toto fórum: Žádní registrovaní uživatelé a 10 hostů